Close Menu
  • Home
  • Education
  • Health
  • National News
  • Politics
  • Relationship & Wellness
  • World News
What's Hot

IAF civilian staffer held in Assam for leaking defence info to Pakistan | Jaipur News – The Times of India

March 23, 2026

JEE Main 2026: NTA revises Session 2 dates; city allotment slips out at jeemain.nta.nic.in

March 23, 2026

March FPI outflow: Foreign investors pull out Rs 88,180 cr amid Middle East tensions; over Rs 1 lakh cr withdrawn so far in 2026 – The Times of India

March 23, 2026
Facebook X (Twitter) Instagram
Facebook X (Twitter) Instagram
Global News Bulletin
SUBSCRIBE
  • Home
  • Education
  • Health
  • National News
  • Politics
  • Relationship & Wellness
  • World News
Global News Bulletin
Home»National News»UPSC CSAT Simplified: Expert guides aspirants on how to master General Mental Ability questions
National News

UPSC CSAT Simplified: Expert guides aspirants on how to master General Mental Ability questions

editorialBy editorialMarch 23, 2026No Comments5 Mins Read
Facebook Twitter Pinterest LinkedIn Tumblr Email Telegram Copy Link
UPSC CSAT Simplified: Expert guides aspirants on how to master General Mental Ability questions
Share
Facebook Twitter LinkedIn Pinterest Email Copy Link

(With the UPSC Civil Services Preliminary Examination 2026 scheduled for May 24, the countdown has truly begun. This is the phase when aspirants must start taking the Civil Services Aptitude Test (CSAT) seriously, even though it is only qualifying in nature, as it has surprised many candidates in recent years. CSAT is a qualifying paper requiring a minimum of 33% marks, as per official UPSC guidelines.

To bring clarity to preparation, UPSC Essentials by The Indian Express continues its series “UPSC CSAT Simplified.” In the first part, expert Dr Mansoor Agha Siddiqui decoded the nature and structure of the CSAT paper (click here), while the second part focused on tackling comprehension (click here), a section that often consumes valuable exam time. The third part discussed logical reasoning and analytical ability, building a strong conceptual base (click here). In this fourth part, he turns to General Mental Ability questions, a crucial yet often underestimated area for aspirants aiming to clear CSAT with confidence.)

About our expert:For UPSC aspirants grappling with the challenges of CSAT,Dr. Mansoor Agha Siddiquibrings decades of experience to the conversation. With over three decades of guiding students through aptitude and assessment tests such as GMAT, IIM-CAT, GRE, SAT, LSAT, CUET and others, he has worked extensively with the design and demands of aptitude-based examinations. His expertise also includes mentoring UPSC aspirants across multiple areas, including CSAT, making his insights particularly relevant for candidates preparing for this crucial paper.

Subject 3: General Mental Ability

An area which has been separated from the General Studies paper of the old pattern, General Mental Ability is now a part of CSAT Paper II. General Mental Ability (GMA) verifies a candidate’s cognitive skills. From a student’s perspective GMA, as a subject, does not require any formal learning of subject-specific rules but an exposure of possible question types and finding your own way to handle tricky questions, where you tend to make mistakes and subsequently not repeating the same mistakes, can help you get an impeccable score.

The questions check the common sense clubbed with the basic mathematics skills that one is exposed to till class X, a competency that will impact job performance irrespective of the cadre one selects. GMA can test a candidate for Verbal and Non-Verbal Reasoning skills.

Questions can be based on coding-decoding, ages, relations, Venn diagrams, sets, dices, direction sense, abstract figures, logical number/alphabetical/ diagrammatic sequences, etc. So, the way to gain proficiency at GMA is to get a wide exposure of all possible question types and have a perfectionist attitude. If you get a single question wrong, then that question is important for you as it possibly has something that you need to learn. But then isn’t this the strategy for any and all tested areas?

csat image gma

Let us analyse a few General Mental Ability questions:

Directions to Question no.1: In the following question, there is some relationship between the figures. From the answer figures, pick out the figures which most appropriately completes the sequence.

Question 1:

upsc csat gma 2

1. Answer: (b)

Story continues below this ad

Explanation: In each subsequent figure the design rotates through 90o in anticlockwise direction.

Directions for Question no. 2: Study the following information and answer the given question:

In a certain code language –

‘school is far from here’ is written as ‘to ga di ba ni’.

‘here is the school bus’ is written as ‘ru to ni di zi’.

‘come from school’ is written as ‘ga ni mo’.

Story continues below this ad

‘is the bus late’ is written as ‘ru zi fa to’.

Question 2: What may the code ‘ru mo di’ stand for in the given code language?

(a) the bus here

(b) come from here

(c) come the late

(d) come the here

2. Answer: (d)

Explanation: School = ni, is = to, far = ba, from = ga, here = di, come = mo, late = fa, the bus = ru zi

Question 3: M is the son of P; Q is the grand-daughter of O who is the husband of P. How is M related to O?

(a) Son

(b) Daughter

(c) Mother

(d) Father

3. Answer: (a)

Story continues below this ad

Explanation: Given that O is the husband of P and M is the son of P, and Q is the grand-daughter of O who is the husband of P. So, O and P are parents of M.

Therefore, M is the son of O.

So, the answer is (a).

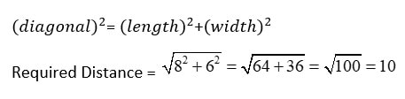
Question 4: Prateek traveled in an absolutely barren desert with a plain surface from a point A to B, a distance of 12km. He turned right and traveled 8 km and reached point C. From that point he took a right turn and traveled 6 km, and reached point D. How far away is he from the starting point?

(a) 10 km

(b) 12 km

(c) 13 km

(d) 14 km

4. Answer: (a)

Explanation:

upsc gma image 3

The required distance is a diagonal of the rectange with sides 6 km and 8 km. So, we can use the Pythagoras Theorem:

csat gma image 4

Next Article in CSAT Simplified: How to tackle basic numeracy and data interpretation questions for UPSC exam

Share your views and suggestions in the comment box or at manas.srivastava@indianexpress.com

Story continues below this ad

Subscribe to ourUPSC newsletter.Stay updated with the latest UPSC articles by joining our Telegram channel –IndianExpressUPSC Hub, and follow us onInstagramand X.

🚨Click Hereto read the UPSC Essentials magazine for March 2026.🚨

Follow on Google News Follow on Flipboard
Share. Facebook Twitter Pinterest LinkedIn Tumblr Email
Previous Article8,931 days milestone! PM Modi overtakes Pawan Kumar Chamling to become longest-serving head of government | India News – The Times of India
Next Article March FPI outflow: Foreign investors pull out Rs 88,180 cr amid Middle East tensions; over Rs 1 lakh cr withdrawn so far in 2026 – The Times of India
editorial
  • Website

Related Posts

JEE Main 2026: NTA revises Session 2 dates; city allotment slips out at jeemain.nta.nic.in

March 23, 2026

Mohanlal to star in Priyadarshan’s 100th film, actor pens emotional note

March 23, 2026

FIR against Laljit Singh Bhullar after his resignation as Punjab minister over suicide of warehousing corporation official

March 22, 2026

Anurag Dobhal health update: UK07 Rider being cared for by friends, vows to stay happy and healthy

March 22, 2026

Sorry, Mom. You’re chatting with an AI agent, not your son.

March 22, 2026

Revamp curricula, teaching methods to match fast-changing world: Higher Education Secretary

March 22, 2026
Add A Comment
Leave A Reply Cancel Reply

Economy News

IAF civilian staffer held in Assam for leaking defence info to Pakistan | Jaipur News – The Times of India

By editorialMarch 23, 2026

The accused, Sumit Kumar, a resident of Prayagraj in Uttar Pradesh, was working as Multi-Tasking…

JEE Main 2026: NTA revises Session 2 dates; city allotment slips out at jeemain.nta.nic.in

March 23, 2026

March FPI outflow: Foreign investors pull out Rs 88,180 cr amid Middle East tensions; over Rs 1 lakh cr withdrawn so far in 2026 – The Times of India

March 23, 2026
Top Trending

IAF civilian staffer held in Assam for leaking defence info to Pakistan | Jaipur News – The Times of India

By editorialMarch 23, 2026

The accused, Sumit Kumar, a resident of Prayagraj in Uttar Pradesh, was…

JEE Main 2026: NTA revises Session 2 dates; city allotment slips out at jeemain.nta.nic.in

By editorialMarch 23, 2026

3 min readNew DelhiUpdated: Mar 22, 2026 07:16 PM IST The National…

March FPI outflow: Foreign investors pull out Rs 88,180 cr amid Middle East tensions; over Rs 1 lakh cr withdrawn so far in 2026 – The Times of India

By editorialMarch 23, 2026

Foreign investors have turned cautious on Indian equities this month, pulling out…

Subscribe to News

Get the latest sports news from NewsSite about world, sports and politics.

Facebook X (Twitter) Pinterest Vimeo WhatsApp TikTok Instagram

News

  • Education
  • Health
  • National News
  • Relationship & Wellness
  • World News
  • Politics

Company

  • Information
  • Advertising
  • Classified Ads
  • Contact Info
  • Do Not Sell Data
  • GDPR Policy
  • Media Kits

Services

  • Subscriptions
  • Customer Support
  • Bulk Packages
  • Newsletters
  • Sponsored News
  • Work With Us

Subscribe to Updates

Get the latest creative news from FooBar about art, design and business.

© Copyright Global News Bulletin.
  • Privacy Policy
  • Terms
  • Accessibility
  • Website Developed by Digital Strikers

Type above and press Enter to search. Press Esc to cancel.